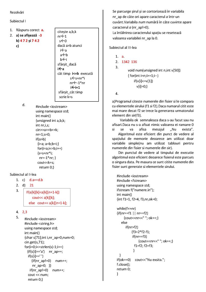
Profesoara Daniela Ilie de la Colegiul Naţional „Al. I. Cuza” este cea care ne-a oferit soluţiile subiectelor la informatică pentru profilul matematică-informatică. CLICK PE IMAGINILE DE MAI JOS
Cine este profesoara Daniela Ilie
Profesoară de informatică la Colegiul Naţional „Al. I. Cuza” Galaţi, profesor metodist, consilier educativ al şcolii, Daniela Ilie mai este şi membru al Uniunii Profesorilor de Informatică din România (UPIR), formator ECDL în cadrul proiectului Profesionişti în Educaţie Europeană şi Reformă, coordonator al Cercului de Robotică RoboticsClubGalați, colaborator al Institutul Naţional de Fizica Laserelor, Plasmei şi Radiaţiei în proiectul internaţional Fibonacci.
S-a ocupat şi cu diseminarea metodei investigării ştiinţifice pentru predarea ştiinţelor şi matematicii în Europa, iar ca expert în proiectul „Şcoala viitorului” a realizat animaţii pentru lecţii de fizică (gimnaziu). Animaţiile propuse pentru lecţiile despre optică şi despre magnetism pot fi văzute la următoarele adrese:
http://www.valcea-performanta.ro/files/index_optica.html
http://www.valcea-performanta.ro/files/index.html
Totodată este iniţiatorul şi coordonatorul proiectului internaţional „Stelele Ştiinţei” (www.facebook.com/SteleleStiintei, http://concursul-stelele-stiintei.wikispaces.com/Invitatie).
Elevii coordonaţi de Daniela Ilie au obţinut premii la Olimpiada de Informatică Aplicată şi la Concursul Naţional Infoeducaţie.
Mâine, subiectul la chimie organică
„Viaţa liberă” va continua şi mâine campania de publicare a rezolvărilor subiectelor pentru bacalaureat. Urmează rezolvarea modelului de subiect la chimie organică, oferită de directoarea Colegiului Naţional „C. Negri”, Andra Ionescu.

